印度人,数学能力为什么强?
文|正解局
12×14等于多少?
9的三次方又是多少?
在不用计算器的情况下,你能在几秒内做出正确答案?
在印度孟买街头的一次随机采访中,对上面两个问题:
接受采访的印度人基本上可以在3秒内做出正确答案!

来源:ASIAN BOSS
连著名物理学家斯蒂芬·霍金都称赞:印度人真的是很擅长数学!
印度人,数学能力为什么强?

在印度,数学和宗教有着千丝万缕的联系。
在婆罗门祭礼的影响下,数学在建筑和天文研究中被经常使用。
印度数学的文字记录,最早可追溯到公元前10世纪(相当于中国的西周时期)。
在婆罗门教和印度教的经典《吠陀》中,就有一些关于几何和代数的计算问题,包括我们非常熟悉的勾股定理,矩形对角线互相平分且相等,三角形相似和全等的性质。
这些定理在公元前300年(中国春秋战国时期),古希腊几何之父欧几里得的《几何原本》得到证明,但古印度发现这些定理的时间足足早了700多年。
最为人熟知的当属数字0的发现和运用,直到今天印度人仍然引以为傲。

一份古印度手稿
0看似乎无关紧要,但其实在数字运算中扮演着至关重要的作用。
任何数乘以0是0,任何数加减0还是任何数,这是历史上0第一次被看作一个数字。
0之所以在印度被首次发现运用,与其佛教中“绝对无”的思想非常契合。
还有很多人不知道的是:阿拉伯数字其实是印度人发明的。
原来,阿拉伯人武力占领印度后,被简洁美妙的印度数学所吸引,并在印度数字的基础上加以修改,演变成了我们今天非常熟悉的阿拉伯数字。
后来因为战争原因,古印度文明逐渐衰落,但关于数学的研究并没有完全衰败。

我们熟悉的阿拉伯数字起源于印度
近代印度还出现了像拉马努金这样的数学天才。
拉马努金有多神?
他一生独立发现的3900多个数学公式和命题,没有任何推导过程,全是出于宗教直觉。
用拉马努金的话说:“一个方程如果不能表达神的旨意,那对我而言就完全没有意义。”
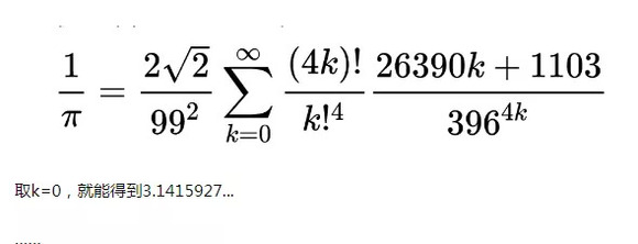
更神奇的是,他信手拈来的一个方程,就可以将十进制圆周率的精度提高到8位,简直匪夷所思。

将十进制圆周率精度提高到8位的方程式
难怪在拉马努金33岁英年早逝时,华罗庚的老师,英国大数学家哈代痛哭流涕,直言:
“拉马努金的去世,是我生命中最不可承受之痛。”
2016年,著名投资人米尔纳在家中办了一场电影派对,邀请了硅谷著名的科技大佬,包括谷歌的CEO皮查伊、脸书的CEO扎克伯格等人。

电影《知无涯者》海报
派对放映的正是以拉马努金为原型的影片《知无涯者》,影片结束后,扎克伯格等人大为感动,红着眼眶当即表示要成立一个基金,纪念拉马努金。
时至今日,印度人对于数学的热爱,仍然没有衰减。
今年1月26日,印度举行一年一度的共和国日阅兵仪式上,就出现了数学题讲解表演方阵。
也难怪有网友评价:“印”式分解,数学强国!

印度共和国日阅兵仪式上,出现了数学题讲解表演方阵 来源:青蜂侠

在日本东京都葛西区,有一所印度国际学校GIIS,教学进度与印度当地相同。
在小朋友4岁半的时候,就开始教2—5以内的加减法。
7岁时开始教乘法,8岁时孩子已经会3位数的加法。
对于孩子来说,刚开始接触数学运算,主要还是靠背诵。
在小学时,数学老师都会教我们九九乘法表,而在印度,教的是19×19乘法表。
印度对于图形的学习也明显早于其他国家。
在小学低学年阶段,印度孩子就开始学习三角形、正方形、多边形,内容包括边的特性、角度、对角线等内容。
而印度,还有各种奇奇怪怪的运算方法。

实用印度式乘法口诀演示动画
很多孩子对于枯燥乏味的背诵并不感冒,因此老师也主动启发孩子通过身边的事物学习。
比如一年级的时候,老师就教孩子开始用纸的短边长去测量自己的头围,做一些简单的数据收集与统计。
到了四年级的时候,孩子就可以利用这些收集来的数据,制作折线图、饼图、柱状图等内容。
一边实践一边学习,从小就耳濡目染,培养了印度人对于数学的思考力。

孩子们这么努力,家长老师这么重视,自然有其现实意义。
众所周知,印度是人口大国,因此和中国一样有着较大的教育竞争压力。
但和中国不同的是,印度有着历史悠久、阶级森严的种姓制度。

印度种姓制度
在一些传统工作中,低种姓的人一辈子都没有翻身的机会。
而学好数理化,就能从事新兴的理工产业,包括最火的IT产业。
这是咸鱼翻身,摆脱种姓制度最好的方式。
如今在美国有160万印度人,美国硅谷的工程师中每4个人就有1位来自印度。
与其他国家二代、三代移民不同的是,大部分来美国的印度人都是第一代移民,都是出生在印度,在印度接受过教育的人。
他们大部分都凭借深厚的数学功底,通过好好学习这一条路走了出去。
在这就不得不提一所学校,那就是印度理工学院(IIT)。
传说在印度“一流的学生进印度理工学院,二流的学生才上哈佛”。
包括谷歌CEO皮查伊、思科CTO沃里奥等大佬都毕业于这所印度最高学府。
印度理工学院成立之初有7所分校,在印度8400多所高校中,这7所分校牢牢占据着前10的位置。
先前有报道,在一般的印度高等学府毕业,入职薪酬才每月1500元人民币左右,而在印度理工学院毕业的学生,毕业前就被印度各龙头企业或者国外大IT公司内定,薪资更是普通学生的20倍之多。
并且师出同门,在以后工作道路上的人脉优势,更是用钱无法衡量的。

印度理工学院
所以,对于数以万计的印度学子来说,考上大学还不足够,考入印度理工学院才能走上人生巅峰。
因此,印度理工学院的录取率也是低得可怜,号称全世界最难考的大学之一,100万人参加考试,录取人数不足1万,录取率不到1%,基本上和考清华北大差不多难度。
印度理工学院的入学考试分为数学、物理、化学三门。
不仅留给考生的作答时间短,答错甚至都还要扣分!
学生根据入学考试的分数选择学院,分数高的自然可以优先选择。
如果学不好数理化,考不到高分,就无法加入印度理工学院最王牌的计算机专业。
在印度,如果谁家的孩子考上了印度理工学院,全村都会投来尊敬的目光,甚至有的家庭在孩子成功入学后,拿出全部家当也要大摆宴席,因为他们知道改变命运的时刻到来了。

正在学做算术题的印度孩童
学好数学,能改变印度底层社会孩子甚至他们家庭的命运。
但却没法改变,整个沉闷的社会。