智商不一定是你的极限,但确实决定了你的起点。而有些人就是赢在起跑线上的。

文|造就
谁都不愿被一个数字所定义。但你的很多方面或许都体现在一个数字当中,不论你知道与否——它就是IQ,即智商。(近来,美国总统特朗普向《福布斯》杂志吹嘘:要是和国务卿蒂勒森比智商,他必“胜”无疑。)
IQ常被诟病“过时”、“具有误导性”,或是不如人格特质来得重要。
但爱丁堡大学智力研究人员斯图尔特·里奇(Stuart Ritchie)指出,大量数据表明,智商是预测个人寿命、健康与成就的最佳指标之一。这些结果在心理学界得到一次又一次的复制。
在新书《智商:你所要知道的一切》(Intelligence: All that Matters)中,里奇颇具说服力地指出,智商不一定是你的极限,但确实决定了你的起点。而有些人就是赢在起跑线上的。
以下九点有助于解释IQ,以及IQ为何那么重要。
01 多数人的智商水平均为中等
有关智商,首先要明白的一点是:它是一项综合分数,由推理、记忆、知识获取和思维速度等多项测验的结果构成。所得总分与其他人的成绩相对照。最中间的分数被设定为100。
一项完整的IQ测验有着严格的时间限制,通常在1个多小时,还要有受过专门培训的人员进行监考。有些测试部分还要单独限时。网络上那些免费的IQ测验都不正规。
和其他因人而异的个人特征(如身高)一样,IQ的分布也是一条钟形曲线。
你认识的人中,可能大多数都处在中等水平,只有少数几个聪明绝顶。IQ在130以上的人仅占2.2%。

有意思的是,只要一项测验成绩好,那么,你各项测验的成绩都不会差。比如,某些IQ测验会让你“在最短的时间内关掉某盏闪烁的灯”,而你在这个项目中的表现与你在言语推理、空间推理测验中的成绩是相关的。
心理学家将这种分数的重叠称为G因素,字母“G”代表共同智能。
“其中有一个经典结果,也是心理学领域复制最多的结果,即在完成不同的思维任务时,若你其中一项成绩优秀,那你其余各项的成绩也会同样出色。”里奇表示。
至于共同智能存在于人脑哪个部位,或以何种形式存在,我们并不了然。但不论从何而来,从某种意义上说,它都切实存在,凭借这一因素,我们能预测一个人一生的境况——收入的高低、工作表现的优劣,以及最让人脊背发凉的一点——是否短命。
02 高智商可以延年益寿
这一点就有些令人不适了:根据研究,高智商人群较一般人更为健康,寿命也更长。下图展示了一项针对100万名瑞典男性的研究。研究人员发现,智商最低群组的死亡风险是智商最高群组的三倍。

IQ与死亡风险。在由近100万名瑞典男性构成的样本中,在接受IQ测验20年后,智商较低人群的死亡风险(包含一切死因)远高于智商较高人群。将智商最高群组(第9组)的死亡风险设为1.0,其他群组的相对风险一目了然。智商最低群组的死亡风险是智商最高群组的三倍以上。
这一结果涉及多个相互关联的因素。其一,高智商人群往往比低智商人群更会挣钱。而财富可以帮助人们维持体重、保证营养,并获取优质医疗资源。
另一种可能是,高智商人士更懂得如何避免事故与不幸。甚至有证据表明,高智商人士死于交通事故的概率相对较低。
03 IQ与事业和财富相关,不一定和幸福感相关
智商与事业成功也呈现出正相关关系。一般而言,高智商人群的工作表现更好,收入也更高。
但这些相关性并不是很强。
若用[-1,1]这一区间来表示相关性的正负与强弱,那么相关性为1时,若变量A(如智商)递增,则变量B(如财富)必然增加特定数值。
但生活可没有这般理想化。上述很多相关性都不足0.5,也就是说,个人差异还是占据很大比重的。因此,工作一塌糊涂的聪明人并非没有,只是相对少见而已。

IQ与各类工作表现的相关性。
财富、健康、长寿——高智商伴随的好处如此之多,你可能会想当然地认为,聪明人应该也很幸福。不见得。
“通常,智商与幸福感呈正相关关系,但相关性不是很强(有时甚至弱到不具备任何统计学意义)。”里奇说。
另外,虽然个性特质也能预测人生境况,但一般而言,IQ与个性特质的关系并不是很大。在五大个性特质中,只有“经验开放性”这一项与IQ呈现出相关性。“在一定程度上,头脑聪明的人会去经历更多事情,进行更多思考,他们也喜欢思考 。”里奇说。
(在预测人生境况时,IQ通常比个性特质更为可靠:近期的一项研究发现,在16岁以下的学生中,4%的分数差异可以归因于个性特质,而25%可以归因于IQ,有的研究中IQ甚至占据了更高的比例。)
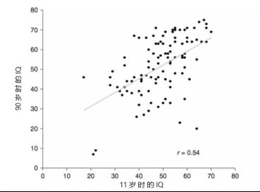
04 三岁看老
研究发现,小时候就聪明的,到老依然是聪明人。
在苏格兰,研究人员找到11岁时接受过智商测验的老人,让他们在90岁时再次接受测验。

人一生中的智力稳定性。图为同一个人在11岁和90岁时接受的同一份IQ测验的成绩。每个点代表一个人。灰线代表相关度R=0.54。
尽管总体而言,智力会随年龄的增长而下降,但小时候聪明的人,到老了可能依然聪明。
05 智力在25-30岁达到巅峰,之后逐渐下滑
笔者今年26岁,此生最聪明可能也莫过于现在了。
25岁往后,你的“晶体智力”(知识积累)开始停滞不前,“流体智力”(解决新问题的能力)开始下滑,思维敏捷度更是急剧下降。

认知能力随年龄增长的变化情况。该研究对不同年龄段的6000多人进行了测验。(不涉及同一个人的不同年龄段。)“流体智力”(虚线)的降幅比“晶体智力“(实线)更陡。反应速度(点线)更是急剧下降。
里奇表示,理解这些与年龄相关的智力下滑现象,是研究IQ生物学的最重要动机之一。
“如果我们知道哪些基因与智力相关,并知道这些基因与认知能力减退有关,我们就可以预测哪些人的认知能力会减退得最为严重,然后将医疗资源分配给他们。”他说。
06 大约一半的IQ差异状况可归因于遗传
有研究对同卵和异卵双胞胎进行了比对,发现IQ差异中,有一半来自遗传因素。
但奇怪的是,研究对象年龄越大,IQ与遗传的相关性也就越强。

针对11000对双胞胎的研究显示,从儿童时期(9岁)到少年时期(12岁),再到青年时期(17岁),智力的遗传性日趋显著。
也就是说,在双胞胎小时候,其智力受基因的影响似乎较小;及至成年,这种影响就会变大。至于为何,原因并不完全清楚。
智力研究人员罗伯特·普洛明(Robert Plomin)和伊恩·迪里(Ian Deary)表示,这有可能是由于“基因放大”作用,即“儿童会选择、修正并创造与其遗传倾向相关联的环境,在此过程中,基因的细微差别会被放大”,他们在2015年的一份文献综述中如是写道。
打个比方:具有“聪明”遗传倾向的孩子可能想花更多时间泡图书馆。但实际生活中,6岁小孩无法自己去图书馆,16岁的青少年就可以。
换言之,随着年龄的增长,我们对环境的控制力日益增强。我们创造的这些环境可以“放大”基因的潜力。
07 基因并非影响智商的唯一因素

你的IQ并不是全由基因说了算。约有一半的IQ差异状况可以归因于环境因素。你所获取的营养、接受的教育、享受的医疗……这些似乎都扮演了重要角色。
但总体而言,对于决定IQ的环境因素,我们的理解仍相对欠缺。
“环境因素很难确定。”里奇说。“人们的生活纷繁复杂,其所处的环境也很复杂。对某个人而言,影响其智商的环境因素完全有可能是随机的。”
08 人类变得越来越聪明了
人们的IQ均值似乎每十年都会上升2-3点。这种现象被称为“弗林效应”,它很有可能是儿童营养、医疗与教育改善的结果。(里奇在书中分析称,也有可能是因为我们愈加强调知识是经济发展的引擎,从而鼓励了测验中所涉及的抽象思维IQ的开发。)

美国人智商测验分数在50年内的上升趋势
09 发展中国家的IQ上升速度更快
一些发展中国家的IQ提升速度是最快的,最大的影响因素是儿童营养与医疗的改善。

弗林效应。研究人员利用全球范围内734项使用瑞文氏标准推理测验的研究,作了一项综合性研究。他们发现,发展中国家的IQ分数提升(虚线)快于发达国家(实线)。这里的测验并非完整的IQ测验,因此平均分不是100。
有证据表明,在发达国家,弗林效应可能正在减弱。“这也许是因为,那些已知能提升IQ的简便方法(比如标准化的教育,以及营养),效果已经显现完毕。”里奇说。
最后要提的一点是,高智商人士并非样样在行。比如有研究表明,相比于一般人,他们可能更需要眼镜来矫正近视。
翻译 | 雁行;校对 | 其奇;来源 | Vox